10月26日に発売になったNewton 12月号。
円、球、そしてπ という特集です。

ちなみにπの定義は、「円における、円周と直径の比」というのが小学校で学んで以来のものだと思いますが、他にも面積や三角関数、指数関数を用いた定義などもあります。
以下は積分で定義したものです。
![]()
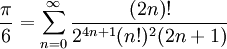
ここから進んで以下のような式を得ることも出来、この式はπの計算に用いられています。
![]()
NEWTON 円,球,そしてπ
URL :
TRACKBACK URL :
10月26日に発売になったNewton 12月号。
円、球、そしてπ という特集です。

ちなみにπの定義は、「円における、円周と直径の比」というのが小学校で学んで以来のものだと思いますが、他にも面積や三角関数、指数関数を用いた定義などもあります。
以下は積分で定義したものです。
![]()
ここから進んで以下のような式を得ることも出来、この式はπの計算に用いられています。
![]()
Leave a Reply